API impurities


impurities list of API molecules

S.No.

API Name

Structures

Name of the Impurity

CAS
Number

IMP Identification

1. 

Alfuzosin
Hydrochloride

N‐[3‐[(4‐Amino‐6,7‐dimethoxyquinazolin‐2‐yl)methylamino]propyl]formamide(IMP-E)

N/A

IMP-E

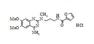
2. 

Alfuzosin
Hydrochloride

Alfuzosin Impurity A

N-[3-[4-Amino-6,7-dimethoxy-quinazolin-2-yl)methylamino]
propyl]furan-2-carboxamide
(IMP-A)

98902-29-5

IMP-A

3. 

Alfuzosin
Hydrochloride

N-(3-(4-Amino-6,7-dimethoxy
quinazolin-2-ylamino)propyl)-tetrahydro-N-methylfuran-
2-carboxamide(IMP-C)

72104-34-8

IMP-C

4. 

Almotriptan

 

4-(Pyrrolidine-1-sulfonylmethyl)-phenylamine

N/A

 

5. 

Almotriptan

 

[4-(Pyrrolidine-1-sulfonylmethyl)-phenyl]-hydrazine Hydrochloride

N/A

 

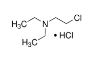
6. 

Amiodarone

2‐Chloro‐N,N‐diethylethylamine hydrochloride[IMP-H. (EP)]

869-24-9

 

IMP-H(EP)

7. 

Abacavir

N6-Cyclopropyl-9H-purine-2,6-diamine

120503-69-7

Cyclopropyl
diaminopurine imp

8. 

Abacavir

((1S,4R)-4-(2,6-Diamino-9H-purin-9-yl)cyclopent-2-enyl)methanol

124752-25-6

Amino

9. 

Atazanavir sulfate

4-(Pyridin-2-yl)benzoic acid

4385-62-0

 

Imp-B

10 

Atazanavir

Methyl (S)-1-((2S,3S)-4-((E)-1-(4-(pyridin-2-yl)benzyl)-2-(4-(pyridin-2-yl)benzylidene)
hydrazinyl)-3-hydroxy-1-phenylbutan-2-ylcarbamoyl)-2,2-dimethylpropylcarbamate

 

impurity D